Spis treści Show
Wybierając produkt oszczędnościowy, często kierujesz się wyłącznie oprocentowaniem. I choć to właśnie ono ma największy wpływ na potencjalny zysk, to kapitalizacja odsetek nie pozostaje bez znaczenia. Dlaczego? Tego dowiesz się z poniższego wpisu.
Co to jest kapitalizacja odsetek – definicja
Kapitalizacja odsetek to proces, w którym odsetki naliczane do kapitału są dodawane do jego wartości początkowej, co zwiększa wartość kapitału, od którego naliczane są kolejne odsetki.

Dzięki kapitalizacji odsetek Twój kapitał powiększa się o wypracowane odsetki w danym okresie, które od dnia naliczenia stają się częścią kapitału, a nie tylko „przyszłym zyskiem”. To zaś powoduje, że Twoje oszczędności lub inwestycje rosną szybciej.
Jak działa kapitalizacja odsetek?
Aby zrozumieć, jak działa kapitalizacja odsetek, posłużmy się prostym przykładem. Załóżmy, że masz lokatę bankową o wartości początkowej 10 000 zł i oprocentowanie 5% w skali roku, gdzie odsetki są kapitalizowane miesięcznie. Po jednym miesiącu bank dolicza odsetki do Twojego kapitału, które stają się częścią kapitału i są również brane pod uwagę podczas kolejnej kapitalizacji odsetek.
To oznacza, że co miesiąc Twój kapitał rośnie o odsetki, które są dodawane do początkowej kwoty. Na koniec roku wartość Twojego kapitału wzrośnie zgodnie z wyliczeniem dla kapitalizacji składanej, co w naszym przykładzie wynosi około 10 512,68 zł. W przypadku kapitalizacji rocznej wartość kapitału powiększona o odsetki wynosiłaby zaś 10 500 zł.
Rodzaje kapitalizacji odsetek
Ze względu na sposób naliczania odsetek wyróżnia się kilka rodzajów kapitalizacji:
- kapitalizacja prosta
- kapitalizacja złożona
- kapitalizacja zgodna
- kapitalizacja niezgodna
- kapitalizacja z góry
Kapitalizacja prosta
Prosta kapitalizacja odsetek to najprostszy sposób naliczania odsetek. W tym przypadku odsetki są doliczane do kapitału tylko raz na koniec okresu lokacyjnego. Podstawą do naliczenia odsetek jest kapitał początkowy. Same zaś odsetki nie podlegają oprocentowaniu.
Kapitalizacja złożona
Kapitalizacja złożona to sposób naliczania odsetek, w którym odsetki są doliczane do kapitału nie tylko na koniec okresu lokacyjnego, ale również w trakcie jego trwania. W ten sposób odsetki naliczają się od coraz większej kwoty, co przekłada się na wyższe zyski.
Kapitalizacja zgodna
Kapitalizacja zgodna to sposób naliczania odsetek, w którym okres kapitalizacji jest zgodny z okresem naliczania odsetek. Oznacza to, że odsetki są doliczane do kapitału w tym samym momencie, w którym są naliczane.
Kapitalizacja niezgodna
Kapitalizacja niezgodna to sposób naliczania odsetek, w którym okres kapitalizacji nie jest zgodny z okresem naliczania odsetek. Oznacza to, że odsetki są doliczane do kapitału w momencie innych operacji, na przykład w momencie wpłaty lub wypłaty środków.
Kapitalizacja z góry
Kapitalizacja z góry to sposób naliczania odsetek, w którym odsetki są dopisywane do kapitału na samym początku okresu lokacyjnego. Oznacza to, że odsetki są naliczane od pełnej kwoty zdeponowanej na lokacie lub koncie oszczędnościowym.
Kapitalizacja z dołu
Kapitalizacja z dołu to sposób naliczania odsetek, w którym odsetki są doliczane do kapitału na końcu okresu lokacyjnego. Oznacza to, że odsetki są naliczane od kwoty zdeponowanej na lokacie lub koncie oszczędnościowym pomniejszonej o wcześniej naliczone odsetki.
Częstotliwość kapitalizacji odsetek jest jednym z najważniejszych czynników wpływających na wysokość zysków z lokaty lub konta oszczędnościowego. Najbardziej opłacalna jest jak największa częstotliwość kapitalizacji odsetek, gdyż w następnym okresie kolejne odsetki nalicza się od większej kwoty.
Sprawdź także:
- Chcesz oszczędzać? Te rodzaje lokat bankowych Ci w tym pomogą
- Co to jest lokata rentierska i kto może ją założyć?
- Co to jest lokata strukturyzowana, jak działa i czy jest bezpieczna?
Częstotliwość kapitalizacji odsetek
Częstotliwość kapitalizacji wskazuje na to, jak często odsetki są naliczane i dodawane do kapitału początkowego lub pierwotnego. Wartość ta może mieć spory wpływ na ogólny wzrost kapitału lub wartości inwestycji w dłuższej perspektywie czasowej.
Najczęściej spotykane częstotliwości kapitalizacji to:
- Kapitalizacja roczna: W tym przypadku odsetki są naliczane i dodawane do kapitału raz w roku.
- Kapitalizacja półroczna: Oznacza to, że odsetki są naliczane i dodawane do kapitału dwa razy w roku, czyli co pół roku.
- Kapitalizacja kwartalna: Odsetki są naliczane i dodawane do kapitału co kwartał, czyli co trzy miesiące.
- Kapitalizacja miesięczna: W tym przypadku odsetki są naliczane i dodawane do kapitału co miesiąc.
- Kapitalizacja dzienna: To najbardziej szczegółowa częstotliwość, gdzie odsetki są naliczane i dodawane do kapitału codziennie.
Poniżej tabela porównująca różnice zysku brutto między różnymi częstotliwościami kapitalizacji przy danym oprocentowaniu i kapitale początkowym:
| Częstotliwość Kapitalizacji | Oprocentowanie roczne (%) | Kapitał początkowy (zł) | Kapitał po 1 roku (zł) |
|---|---|---|---|
| Dzienna | 5 | 10,000 | 10,512.68 |
| Miesięczna | 5 | 10,000 | 10,511.62 |
| Kwartalna | 5 | 10,000 | 10,510.38 |
| Roczna | 5 | 10,000 | 10,500.00 |
Jak widzisz, im częstsza kapitalizacja odsetek, tym większy potencjalny wzrost kapitału w dłuższej perspektywie czasowej, ponieważ odsetki są naliczane do kapitału, co z kolei prowadzi do efektu procentu składanego.
W przypadku kapitalizacji dziennej łączna kwota po roku oszczędzania kwoty 10 tysięcy złotych jest wyższa o ponad 12 zł niż w przypadku kapitalizacji rocznej, jednak różnica między kapitalizacją miesięczną a dzienną nie jest już tak widoczna.
Wzór na kapitalizację odsetek
Wzór na kapitalizację odsetek jest bardzo prosty. Aby obliczyć wartość kapitału końcowego, musisz znać kilka parametrów, takich jak początkowy kapitał, czas trwania inwestycji, oprocentowanie oraz częstotliwość kapitalizacji.
Wzór na wartość kapitału końcowego to:
K = P * (1 + r/n) ^ (n*t)
Gdzie:
- K to wartość kapitału końcowego
- P to początkowy kapitał
- r to oprocentowanie
- n to liczba kapitalizacji w ciągu roku
- t to czas trwania inwestycji w latach
Wzór ten jest oparty na procencie składanym, czyli odsetkach naliczanych od kwoty początkowej oraz odsetek z poprzedniego okresu.
Dla przykładu, jeśli początkowy kapitał wynosi 1000 zł, oprocentowanie wynosi 5%, a czas trwania inwestycji to 5 lat, to wartość kapitału końcowego przy różnych częstotliwościach kapitalizacji wynosi:
- Roczna kapitalizacja: 1276,28 zł
- Półroczna kapitalizacja: 1280,08 zł
- Kwartalna kapitalizacja: 1281,16 zł
- Miesięczna kapitalizacja: 1281,81 zł
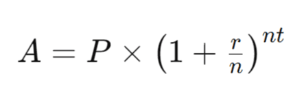
Inny zapis:

Gdzie:
- A – to końcowa kwota (kapitał po pewnym okresie czasu),
- P – to kapitał początkowy,
- r – to roczne oprocentowanie jako wartość dziesiętna (np. 0.05 dla 5%),
- n – to liczba kapitalizacji w ciągu roku (np. 12 dla kapitalizacji miesięcznej, 4 dla kapitalizacji kwartalnej, 365 dla kapitalizacji dziennie),
- t – to liczba lat.
Aby wyliczyć zysk z kapitalizacji odsetek o różnej częstotliwości, możesz także skorzystać z dostępnych w sieci kalkulatorów odsetek od lokat czy kont oszczędnościowych.
Kapitalizacja odsetek a podatek
Bez względu na to czy wypracowujesz zysk na lokacie, koncie oszczędnościowym czy innych formach oszczędzania lub inwestowania, gdzie stosowana jest kapitalizacja odsetek, będzie on (zysk) obciążony 19-procentowym podatkiem od zysków kapitałowych – podatkiem Belki.
Bank, dodając do Twojego kapitału należne odsetki, automatycznie pomniejsza je właśnie o należny państwu podatek. To zaś oznacza, że do Twojego kapitału doliczane są odsetki pomniejszone o podatek Belki wynoszący 19 procent.
Innymi słowy, kapitalizacja odsetek jest traktowana jako ich wypłata, a to oznacza, że naliczone odsetki są automatycznie pomniejszane o podatek Belki.
Często zadawane pytania (FAQ)
Poniżej znajdziesz odpowiedzi na często zadawane pytania dotyczące kapitalizacji odsetek.
Jakie korzyści daje częsta kapitalizacja odsetek?
Im częściej dokonywana jest kapitalizacja odsetek, tym większy staje się potencjalny zysk w dłuższej perspektywie czasu.
Jak często naliczane są odsetki?
W przypadku kapitalizacji odsetek częstość naliczania odsetek może być różna w zależności od warunków umowy lub rodzaju inwestycji. Najczęściej spotykane częstotliwości naliczania odsetek to: kapitalizacja roczna, kwartalna, miesięczna, dzienna.
Kapitalizacja odsetek a procent składany
Kapitalizacja odsetek i procent składany są ściśle powiązane, gdzie kapitalizacja odnosi się do częstotliwości naliczania odsetek i dodawania ich do kapitału, podczas gdy procent składany oznacza, że odsetki są naliczane na kapitał początkowy oraz na wcześniej naliczone odsetki. Im częstsza kapitalizacja, tym szybciej kapitał rośnie dzięki procentowi składanemu, co sprzyja generowaniu większych zysków z inwestycji.
Opracowanie: Portal finansowy. Źródła: Procent Składany zpe.gov.pl